Pfizer Pharmaceuticals LLC
829084545
ANALYSIS(0069-3220, 0069-3230) , API MANUFACTURE(0069-3220, 0069-3230) , MANUFACTURE(0069-3220, 0069-3230) , PACK(0069-3220, 0069-3230)
PIROXICAM
![]()
HIGHLIGHTS OF PRESCRIBING INFORMATIONThese Highlights Do Not Include All The Information Needed To Use Feldene Safely And Effectively. See Full Prescribing Information
For Feldene.
Feldene® (piroxicam) Capsules, For Oral Use Initial U.s. Approval: 1982 WARNING: RISK OF SERIOUS CARDIOVASCULAR AND GASTROINTESTINAL EVENTSSee full prescribing information for complete boxed warning.
RECENT MAJOR CHANGES
INDICATIONS AND USAGEFELDENE is a nonsteroidal anti-inflammatory drug indicated for (1)
DOSAGE AND ADMINISTRATION
DOSAGE FORMS AND STRENGTHSFELDENE (piroxicam) capsules: 10 mg and 20 mg (3) CONTRAINDICATIONS
WARNINGS AND PRECAUTIONS
ADVERSE REACTIONSMost common adverse reactions (incidence >2% from clinical trials) are: nausea, constipation, flatulence, abdominal pain, diarrhea, headache, dizziness, edema, rash. (6.1) To report SUSPECTED ADVERSE REACTIONS, contact Pfizer at 1-800-438-1985 or FDA at 1-800-FDA-1088 or www.fda.gov/medwatch. DRUG INTERACTIONS
USE IN SPECIFIC POPULATIONSPregnancy: Use of NSAIDs during the third trimester of pregnancy increases the risk of premature closure of the fetal ductus arteriosus. Avoid use of NSAIDs in pregnant women starting at 30 weeks gestation (5.10, 8.1) Infertility: NSAIDs are associated with reversible infertility. Consider withdrawal of FELDENE in women who have difficulties conceiving (8.3) See 17 for PATIENT COUNSELING INFORMATION and Medication Guide. Revised: 4/2017 |
Carefully consider the potential benefits and risks of FELDENE and other treatment options before deciding to use FELDENE. Use the lowest effective dosage for the shortest duration consistent with individual patient treatment goals [see Warnings and Precautions (5)].
After observing the response to initial therapy with FELDENE, the dose and frequency should be adjusted to suit an individual patient's needs.
For the relief of rheumatoid arthritis and osteoarthritis, the dosage is 20 mg given orally once per day. If desired, the daily dose may be divided. Because of the long half-life of FELDENE, steady-state blood levels are not reached for 7–12 days. Therefore, although the therapeutic effects of FELDENE are evident early in treatment, there is a progressive increase in response over several weeks and the effect of therapy should not be assessed for two weeks.
Clinical trials of several COX-2 selective and nonselective NSAIDs of up to three years duration have shown an increased risk of serious cardiovascular (CV) thrombotic events, including myocardial infarction (MI), and stroke, which can be fatal. Based on available data, it is unclear that the risk for CV thrombotic events is similar for all NSAIDs. The relative increase in serious CV thrombotic events over baseline conferred by NSAID use appears to be similar in those with and without known CV disease or risk factors for CV disease. However, patients with known CV disease or risk factors had a higher absolute incidence of excess serious CV thrombotic events, due to their increased baseline rate. Some observational studies found that this increased risk of serious CV thrombotic events began as early as the first weeks of treatment. The increase in CV thrombotic risk has been observed most consistently at higher doses.
To minimize the potential risk for an adverse CV event in NSAID-treated patients, use the lowest effective dose for the shortest duration possible. Physicians and patients should remain alert for the development of such events, throughout the entire treatment course, even in the absence of previous CV symptoms. Patients should be informed about the symptoms of serious CV events and the steps to take if they occur.
There is no consistent evidence that concurrent use of aspirin mitigates the increased risk of serious CV thrombotic events associated with NSAID use. The concurrent use of aspirin and an NSAID, such as piroxicam, increases the risk of serious gastrointestinal (GI) events [see Warnings and Precautions (5.2)].
Status Post Coronary Artery Bypass Graft (CABG) Surgery
Two large, controlled clinical trials of a COX-2 selective NSAID for the treatment of pain in the first 10–14 days following CABG surgery found an increased incidence of myocardial infarction and stroke. NSAIDs are contraindicated in the setting of CABG [see Contraindications (4)].
Post-MI Patients
Observational studies conducted in the Danish National Registry have demonstrated that patients treated with NSAIDs in the post-MI period were at increased risk of reinfarction, CV-related death, and all-cause mortality beginning in the first week of treatment. In this same cohort, the incidence of death in the first year post-MI was 20 per 100 person years in NSAID-treated patients compared to 12 per 100 person years in non-NSAID exposed patients. Although the absolute rate of death declined somewhat after the first year post-MI, the increased relative risk of death in NSAID users persisted over at least the next four years of follow-up.
Avoid the use of FELDENE in patients with a recent MI unless the benefits are expected to outweigh the risk of recurrent CV thrombotic events. If FELDENE is used in patients with a recent MI, monitor patients for signs of cardiac ischemia.
NSAIDs, including FELDENE, cause serious gastrointestinal (GI) adverse events including inflammation, bleeding, ulceration, and perforation of the esophagus, stomach, small intestine, or large intestine, which can be fatal. These serious adverse events can occur at any time, with or without warning symptoms, in patients treated with NSAIDs. Only one in five patients who develop a serious upper GI adverse event on NSAID therapy is symptomatic. Upper GI ulcers, gross bleeding, or perforation caused by NSAIDs occurred in approximately 1% of patients treated for 3–6 months, and in about 2%–4% of patients treated for one year. However, even short-term NSAID therapy is not without risk.
Risk Factors for GI Bleeding, Ulceration, and Perforation
Patients with a prior history of peptic ulcer disease and/or GI bleeding who used NSAIDs had a greater than 10-fold increased risk for developing a GI bleed compared to patients without these risk factors. Other factors that increase the risk of GI bleeding in patients treated with NSAIDs include longer duration of NSAID therapy; concomitant use of oral corticosteroids, aspirin, anticoagulants, or selective serotonin reuptake inhibitors (SSRIs); smoking; use of alcohol; older age; and poor general health status. Most postmarketing reports of fatal GI events occurred in elderly or debilitated patients. Additionally, patients with advanced liver disease and/or coagulopathy are at increased risk for GI bleeding.
Strategies to Minimize the GI Risks in NSAID-treated patients:
Elevations of ALT or AST (three or more times the upper limit of normal [ULN]) have been reported in approximately 1% of NSAID-treated patients in clinical trials. In addition, rare, sometimes fatal, cases of severe hepatic injury, including fulminant hepatitis, liver necrosis, and hepatic failure have been reported.
Elevations of ALT or AST (less than three times ULN) may occur in up to 15% of patients treated with NSAIDs including piroxicam.
Inform patients of the warning signs and symptoms of hepatotoxicity (e.g., nausea, fatigue, lethargy, diarrhea, pruritus, jaundice, right upper quadrant tenderness, and "flu-like" symptoms). If clinical signs and symptoms consistent with liver disease develop, or if systemic manifestations occur (e.g., eosinophilia, rash, etc.), discontinue FELDENE immediately, and perform a clinical evaluation of the patient.
NSAIDs, including FELDENE, can lead to new onset of hypertension or worsening of preexisting hypertension, either of which may contribute to the increased incidence of CV events. Patients taking angiotensin converting enzyme (ACE) inhibitors, thiazide diuretics, or loop diuretics may have impaired response to these therapies when taking NSAIDs [see Drug Interactions (7)].
Monitor blood pressure (BP) during the initiation of NSAID treatment and throughout the course of therapy.
The Coxib and traditional NSAID Trialists' Collaboration meta-analysis of randomized controlled trials demonstrated an approximately two-fold increase in hospitalizations for heart failure in COX-2 selective-treated patients and nonselective NSAID-treated patients compared to placebo-treated patients. In a Danish National Registry study of patients with heart failure, NSAID use increased the risk of MI, hospitalization for heart failure, and death.
Additionally, fluid retention and edema have been observed in some patients treated with NSAIDs. Use of piroxicam may blunt the CV effects of several therapeutic agents used to treat these medical conditions (e.g., diuretics, ACE inhibitors, or angiotensin receptor blockers [ARBs]) [see Drug Interactions (7)].
Avoid the use of FELDENE in patients with severe heart failure unless the benefits are expected to outweigh the risk of worsening heart failure. If FELDENE is used in patients with severe heart failure, monitor patients for signs of worsening heart failure.
Renal Toxicity
Long-term administration of NSAIDs has resulted in renal papillary necrosis and other renal injury.
Renal toxicity has also been seen in patients in whom renal prostaglandins have a compensatory role in the maintenance of renal perfusion. In these patients, administration of an NSAID may cause a dose-dependent reduction in prostaglandin formation and, secondarily, in renal blood flow, which may precipitate overt renal decompensation. Patients at greatest risk of this reaction are those with impaired renal function, dehydration, hypovolemia, heart failure, liver dysfunction, those taking diuretics and ACE inhibitors or ARBs, and the elderly. Discontinuation of NSAID therapy is usually followed by recovery to the pretreatment state.
No information is available from controlled clinical studies regarding the use of FELDENE in patients with advanced renal disease. The renal effects of FELDENE may hasten the progression of renal dysfunction in patients with preexisting renal disease.
Correct volume status in dehydrated or hypovolemic patients prior to initiating FELDENE. Monitor renal function in patients with renal or hepatic impairment, heart failure, dehydration, or hypovolemia during use of FELDENE [see Drug Interactions (7)]. Avoid the use of FELDENE in patients with advanced renal disease unless the benefits are expected to outweigh the risk of worsening renal function. If FELDENE is used in patients with advanced renal disease, monitor patients for signs of worsening renal function.
Hyperkalemia
Increases in serum potassium concentration, including hyperkalemia, have been reported with use of NSAIDs, even in some patients without renal impairment. In patients with normal renal function, these effects have been attributed to a hyporeninemic-hypoaldosteronism state.
Piroxicam has been associated with anaphylactic reactions in patients with and without known hypersensitivity to piroxicam and in patients with aspirin-sensitive asthma [see Contraindications (4) and Warnings and Precautions (5.8)].
Seek emergency help if an anaphylactic reaction occurs.
A subpopulation of patients with asthma may have aspirin-sensitive asthma which may include chronic rhinosinusitis complicated by nasal polyps; severe, potentially fatal bronchospasm; and/or intolerance to aspirin and other NSAIDs. Because cross-reactivity between aspirin and other NSAIDs has been reported in such aspirin-sensitive patients, FELDENE is contraindicated in patients with this form of aspirin sensitivity [see Contraindications (4)]. When FELDENE is used in patients with preexisting asthma (without known aspirin sensitivity), monitor patients for changes in the signs and symptoms of asthma.
NSAIDs, including piroxicam, can cause serious skin adverse reactions such as exfoliative dermatitis, Stevens-Johnson Syndrome (SJS), and toxic epidermal necrolysis (TEN), which can be fatal. These serious events may occur without warning. Inform patients about the signs and symptoms of serious skin reactions, and to discontinue the use of FELDENE at the first appearance of skin rash or any other sign of hypersensitivity. FELDENE is contraindicated in patients with previous serious skin reactions to NSAIDs [see Contraindications (4)].
Piroxicam may cause premature closure of the fetal ductus arteriosus. Avoid use of NSAIDs, including FELDENE, in pregnant women starting at 30 weeks of gestation (third trimester) [see Use in Specific Populations (8.1)].
Anemia has occurred in NSAID-treated patients. This may be due to occult or gross blood loss, fluid retention, or an incompletely described effect on erythropoiesis. If a patient treated with FELDENE has any signs or symptoms of anemia, monitor hemoglobin or hematocrit.
NSAIDs, including FELDENE, may increase the risk of bleeding events. Co-morbid conditions such as coagulation disorders, concomitant use of warfarin, other anticoagulants, antiplatelet agents (e.g., aspirin), serotonin reuptake inhibitors (SSRIs), and serotonin norepinephrine reuptake inhibitors (SNRIs) may increase this risk. Monitor these patients for signs of bleeding [see Drug Interactions (7)].
The pharmacological activity of FELDENE in reducing inflammation, and possibly fever, may diminish the utility of diagnostic signs in detecting infections.
The following adverse reactions are discussed in greater detail in other sections of the labeling:
Because clinical trials are conducted under widely varying conditions, adverse reaction rates observed in the clinical trials of a drug cannot be directly compared to rates in the clinical trials of another drug and may not reflect the rates observed in practice.
In patients taking FELDENE or other NSAIDs, the most frequently reported adverse experiences occurring in approximately 1–10% of patients are:
Cardiovascular System: Edema
Digestive System: Anorexia, abdominal pain, constipation, diarrhea, flatulence, nausea, vomiting
Nervous System: Dizziness, headache, vertigo
Skin and Appendages: Pruritus, rash
Special Senses: Tinnitus
Additional adverse experiences reported occasionally include:
Cardiovascular System: Palpitations
Digestive System: Stomatitis
Nervous System: Drowsiness
Special Senses: Blurred vision
The following adverse reactions have been identified during post approval use of FELDENE. Because these reactions are reported voluntarily from a population of uncertain size, it is not always possible to reliably estimate their frequency or establish a causal relationship to drug exposure.
Body As a Whole: Fever, infection, sepsis, anaphylactic reactions, appetite changes, death, flu-like syndrome, pain (colic), serum sickness
Cardiovascular System: Congestive heart failure, hypertension, tachycardia, syncope, arrhythmia, exacerbation of angina, hypotension, myocardial infarction, vasculitis
Digestive System: Dyspepsia, elevated liver enzymes, gross bleeding/perforation, heartburn, ulcers (gastric/duodenal), dry mouth, esophagitis, gastritis, glossitis, hematemesis, hepatitis, jaundice, melena, rectal bleeding, eructation, liver failure, pancreatitis
Hemic and Lymphatic System: Anemia, increased bleeding time, ecchymosis, eosinophilia, epistaxis, leukopenia, purpura, petechial rash, thrombocytopenia, agranulocytosis, hemolytic anemia, aplastic anemia, lymphadenopathy, pancytopenia
Hypersensitivity: Positive ANA
Metabolic and Nutritional: Weight changes, Fluid retention, hyperglycemia, hypoglycemia
Nervous System: Anxiety, asthenia, confusion, depression, dream abnormalities, insomnia, malaise, nervousness, paresthesia, somnolence, tremors, akathisia, convulsions, coma, hallucinations, meningitis, mood alterations
Respiratory System: Asthma, dyspnea, respiratory depression, pneumonia
Skin and Appendages: Alopecia, bruising, desquamation, erythema, photosensitivity, sweat, angioedema, toxic epidermal necrosis, erythema multiforme, exfoliative dermatitis, onycholysis, Stevens Johnson Syndrome, urticaria, vesiculobullous reaction
Special Senses: Conjunctivitis, hearing impairment, swollen eyes
Urogenital System: Abnormal renal function, cystitis, dysuria, hematuria, hyperkalemia, interstitial nephritis, nephrotic syndrome, oliguria/polyuria, proteinuria, renal failure, glomerulonephritis
Reproductive system and breast disorders: Female fertility decreased
See Table 1 for clinically significant drug interactions with piroxicam.
| Drugs That Interfere with Hemostasis | |
|---|---|
| Clinical Impact: |
|
| Intervention: | Monitor patients with concomitant use of FELDENE with anticoagulants (e.g., warfarin), antiplatelet agents (e.g., aspirin), selective serotonin reuptake inhibitors (SSRIs), and serotonin norepinephrine reuptake inhibitors (SNRIs) for signs of bleeding [see Warnings and Precautions (5.11)]. |
| Aspirin | |
| Clinical Impact: | Controlled clinical studies showed that the concomitant use of NSAIDs and analgesic doses of aspirin does not produce any greater therapeutic effect than the use of NSAIDs alone. In a clinical study, the concomitant use of an NSAID and aspirin was associated with a significantly increased incidence of GI adverse reactions as compared to use of the NSAID alone [see Warnings and Precautions (5.2)]. |
| Intervention: | Concomitant use of FELDENE and analgesic doses of aspirin is not generally recommended because of the increased risk of bleeding
[see Warnings and Precautions (5.11)]. FELDENE is not a substitute for low dose aspirin for cardiovascular protection. |
| ACE Inhibitors, Angiotensin Receptor Blockers, and Beta-Blockers | |
| Clinical Impact: |
|
| Intervention: |
|
| Diuretics | |
| Clinical Impact: | Clinical studies, as well as post-marketing observations, showed that NSAIDs reduced the natriuretic effect of loop diuretics (e.g., furosemide) and thiazide diuretics in some patients. This effect has been attributed to the NSAID inhibition of renal prostaglandin synthesis. |
| Intervention: | During concomitant use of FELDENE with diuretics, observe patients for signs of worsening renal function, in addition to assuring diuretic efficacy including antihypertensive effects [see Warnings and Precautions (5.6)]. |
| Digoxin | |
| Clinical Impact: | The concomitant use of piroxicam with digoxin has been reported to increase the serum concentration and prolong the half-life of digoxin. |
| Intervention: | During concomitant use of FELDENE and digoxin, monitor serum digoxin levels. |
| Lithium | |
| Clinical Impact: | NSAIDs have produced elevations in plasma lithium levels and reductions in renal lithium clearance. The mean minimum lithium concentration increased 15%, and the renal clearance decreased by approximately 20%. This effect has been attributed to NSAID inhibition of renal prostaglandin synthesis. |
| Intervention: | During concomitant use of FELDENE and lithium, monitor patients for signs of lithium toxicity. |
| Methotrexate | |
| Clinical Impact: | Concomitant use of NSAIDs and methotrexate may increase the risk for methotrexate toxicity (e.g., neutropenia, thrombocytopenia, renal dysfunction). |
| Intervention: | During concomitant use of FELDENE and methotrexate, monitor patients for methotrexate toxicity. |
| Cyclosporine | |
| Clinical Impact: | Concomitant use of FELDENE and cyclosporine may increase cyclosporine's nephrotoxicity. |
| Intervention: | During concomitant use of FELDENE and cyclosporine, monitor patients for signs of worsening renal function. |
| NSAIDs and Salicylates | |
| Clinical Impact: | Concomitant use of piroxicam with other NSAIDs or salicylates (e.g., diflunisal, salsalate) increases the risk of GI toxicity, with little or no increase in efficacy [see Warnings and Precautions (5.2)]. |
| Intervention: | The concomitant use of piroxicam with other NSAIDs or salicylates is not recommended. |
| Pemetrexed | |
| Clinical Impact: | Concomitant use of FELDENE and pemetrexed may increase the risk of pemetrexed-associated myelosuppression, renal, and GI toxicity (see the pemetrexed prescribing information). |
| Intervention: | During concomitant use of FELDENE and pemetrexed, in patients with renal impairment whose creatinine clearance ranges from
45 to 79 mL/min, monitor for myelosuppression, renal and GI toxicity.
NSAIDs with short elimination half-lives (e.g., diclofenac, indomethacin) should be avoided for a period of two days before, the day of, and two days following administration of pemetrexed. In the absence of data regarding potential interaction between pemetrexed and NSAIDs with longer half-lives (e.g., meloxicam, nabumetone), patients taking these NSAIDs should interrupt dosing for at least five days before, the day of, and two days following pemetrexed administration. |
| Highly Protein Bound Drugs | |
| Clinical Impact: | FELDENE is highly protein bound and, therefore, might be expected to displace other protein bound drugs. |
| Intervention: | Physicians should closely monitor patients for a change in dosage requirements when administering FELDENE to patients on other highly protein bound drugs. |
| Corticosteroids | |
| Clinical Impact: | Concomitant use of corticosteroids with FELDENE may increase the risk of GI ulceration or bleeding. |
| Intervention: | Monitor patients with concomitant use of FELDENE with corticosteroids for signs of bleeding [see Warnings and Precautions (5.2)]. |
Symptoms following acute NSAID overdoses have been typically limited to lethargy, drowsiness, nausea, vomiting, and epigastric pain, which are generally reversible with supportive care. Gastrointestinal bleeding has occurred. Hypertension, acute renal failure, respiratory depression, and coma have occurred, but were rare [see Warnings and Precautions (5.1, 5.2, 5.4, 5.6)].
Manage patients with symptomatic and supportive care following an NSAID overdose. There are no specific antidotes. Consider emesis and/or activated charcoal (60–100 grams in adults, 1–2 grams per kg of body weight in pediatric patients) and/or osmotic cathartic in symptomatic patients seen within four hours of ingestion or in patients with a large overdosage (5 to 10 times the recommended dosage).
The long plasma half-life of piroxicam should be considered when treating an overdose with piroxicam. Forced diuresis, alkalinization of urine, hemodialysis, or hemoperfusion may not be useful due to high protein binding.
For additional information about overdosage treatment contact a poison control center (1-800-222-1222).
| FELDENE
piroxicam capsule |
|||||||||||||||||||||
|
|||||||||||||||||||||
|
|||||||||||||||||||||
|
|||||||||||||||||||||
|
|||||||||||||||||||||
|
|||||||||||||||||||||
|
|||||||||||||||||||||
| FELDENE
piroxicam capsule |
|||||||||||||||||||||
|
|||||||||||||||||||||
|
|||||||||||||||||||||
|
|||||||||||||||||||||
|
|||||||||||||||||||||
|
|||||||||||||||||||||
|
|||||||||||||||||||||
| Labeler - Pfizer Laboratories Div Pfizer Inc (134489525) |
| Establishment | |||
| Name | ID/FEI | Business Operations | |
|---|---|---|---|
| Pfizer Pharmaceuticals LLC | 829084545 | ANALYSIS(0069-3220, 0069-3230) , API MANUFACTURE(0069-3220, 0069-3230) , MANUFACTURE(0069-3220, 0069-3230) , PACK(0069-3220, 0069-3230) | |
| Establishment | |||
| Name | ID/FEI | Business Operations | |
|---|---|---|---|
| Pfizer Ireland Pharmaceuticals | 896090987 | ANALYSIS(0069-3220, 0069-3230) , API MANUFACTURE(0069-3220, 0069-3230) | |
| Establishment | |||
| Name | ID/FEI | Business Operations | |
|---|---|---|---|
| Pfizer Pharmaceuticals LLC | 829084552 | ANALYSIS(0069-3220, 0069-3230) , MANUFACTURE(0069-3220, 0069-3230) , PACK(0069-3220, 0069-3230) | |
HIGHLIGHTS OF PRESCRIBING INFORMATIONThese Highlights Do Not Include All The Information Needed To Use Feldene Safely And Effectively. See Full Prescribing Information
For Feldene.
Feldene® (piroxicam) Capsules, For Oral Use Initial U.s. Approval: 1982 WARNING: RISK OF SERIOUS CARDIOVASCULAR AND GASTROINTESTINAL EVENTSSee full prescribing information for complete boxed warning.
RECENT MAJOR CHANGES
INDICATIONS AND USAGEFELDENE is a nonsteroidal anti-inflammatory drug indicated for (1)
DOSAGE AND ADMINISTRATION
DOSAGE FORMS AND STRENGTHSFELDENE (piroxicam) capsules: 10 mg and 20 mg (3) CONTRAINDICATIONS
WARNINGS AND PRECAUTIONS
ADVERSE REACTIONSMost common adverse reactions (incidence >2% from clinical trials) are: nausea, constipation, flatulence, abdominal pain, diarrhea, headache, dizziness, edema, rash. (6.1) To report SUSPECTED ADVERSE REACTIONS, contact Pfizer at 1-800-438-1985 or FDA at 1-800-FDA-1088 or www.fda.gov/medwatch. DRUG INTERACTIONS
USE IN SPECIFIC POPULATIONSPregnancy: Use of NSAIDs during the third trimester of pregnancy increases the risk of premature closure of the fetal ductus arteriosus. Avoid use of NSAIDs in pregnant women starting at 30 weeks gestation (5.10, 8.1) Infertility: NSAIDs are associated with reversible infertility. Consider withdrawal of FELDENE in women who have difficulties conceiving (8.3) See 17 for PATIENT COUNSELING INFORMATION and Medication Guide. Revised: 4/2017 |
Cardiovascular Thrombotic Events
Gastrointestinal Bleeding, Ulceration, and Perforation
FELDENE is indicated:
Carefully consider the potential benefits and risks of FELDENE and other treatment options before deciding to use FELDENE. Use the lowest effective dosage for the shortest duration consistent with individual patient treatment goals [see Warnings and Precautions (5)].
After observing the response to initial therapy with FELDENE, the dose and frequency should be adjusted to suit an individual patient's needs.
For the relief of rheumatoid arthritis and osteoarthritis, the dosage is 20 mg given orally once per day. If desired, the daily dose may be divided. Because of the long half-life of FELDENE, steady-state blood levels are not reached for 7–12 days. Therefore, although the therapeutic effects of FELDENE are evident early in treatment, there is a progressive increase in response over several weeks and the effect of therapy should not be assessed for two weeks.
FELDENE (piroxicam) capsules:
10 mg maroon and blue #322
20 mg maroon #323
FELDENE is contraindicated in the following patients:
Clinical trials of several COX-2 selective and nonselective NSAIDs of up to three years duration have shown an increased risk of serious cardiovascular (CV) thrombotic events, including myocardial infarction (MI), and stroke, which can be fatal. Based on available data, it is unclear that the risk for CV thrombotic events is similar for all NSAIDs. The relative increase in serious CV thrombotic events over baseline conferred by NSAID use appears to be similar in those with and without known CV disease or risk factors for CV disease. However, patients with known CV disease or risk factors had a higher absolute incidence of excess serious CV thrombotic events, due to their increased baseline rate. Some observational studies found that this increased risk of serious CV thrombotic events began as early as the first weeks of treatment. The increase in CV thrombotic risk has been observed most consistently at higher doses.
To minimize the potential risk for an adverse CV event in NSAID-treated patients, use the lowest effective dose for the shortest duration possible. Physicians and patients should remain alert for the development of such events, throughout the entire treatment course, even in the absence of previous CV symptoms. Patients should be informed about the symptoms of serious CV events and the steps to take if they occur.
There is no consistent evidence that concurrent use of aspirin mitigates the increased risk of serious CV thrombotic events associated with NSAID use. The concurrent use of aspirin and an NSAID, such as piroxicam, increases the risk of serious gastrointestinal (GI) events [see Warnings and Precautions (5.2)].
Status Post Coronary Artery Bypass Graft (CABG) Surgery
Two large, controlled clinical trials of a COX-2 selective NSAID for the treatment of pain in the first 10–14 days following CABG surgery found an increased incidence of myocardial infarction and stroke. NSAIDs are contraindicated in the setting of CABG [see Contraindications (4)].
Post-MI Patients
Observational studies conducted in the Danish National Registry have demonstrated that patients treated with NSAIDs in the post-MI period were at increased risk of reinfarction, CV-related death, and all-cause mortality beginning in the first week of treatment. In this same cohort, the incidence of death in the first year post-MI was 20 per 100 person years in NSAID-treated patients compared to 12 per 100 person years in non-NSAID exposed patients. Although the absolute rate of death declined somewhat after the first year post-MI, the increased relative risk of death in NSAID users persisted over at least the next four years of follow-up.
Avoid the use of FELDENE in patients with a recent MI unless the benefits are expected to outweigh the risk of recurrent CV thrombotic events. If FELDENE is used in patients with a recent MI, monitor patients for signs of cardiac ischemia.
NSAIDs, including FELDENE, cause serious gastrointestinal (GI) adverse events including inflammation, bleeding, ulceration, and perforation of the esophagus, stomach, small intestine, or large intestine, which can be fatal. These serious adverse events can occur at any time, with or without warning symptoms, in patients treated with NSAIDs. Only one in five patients who develop a serious upper GI adverse event on NSAID therapy is symptomatic. Upper GI ulcers, gross bleeding, or perforation caused by NSAIDs occurred in approximately 1% of patients treated for 3–6 months, and in about 2%–4% of patients treated for one year. However, even short-term NSAID therapy is not without risk.
Risk Factors for GI Bleeding, Ulceration, and Perforation
Patients with a prior history of peptic ulcer disease and/or GI bleeding who used NSAIDs had a greater than 10-fold increased risk for developing a GI bleed compared to patients without these risk factors. Other factors that increase the risk of GI bleeding in patients treated with NSAIDs include longer duration of NSAID therapy; concomitant use of oral corticosteroids, aspirin, anticoagulants, or selective serotonin reuptake inhibitors (SSRIs); smoking; use of alcohol; older age; and poor general health status. Most postmarketing reports of fatal GI events occurred in elderly or debilitated patients. Additionally, patients with advanced liver disease and/or coagulopathy are at increased risk for GI bleeding.
Strategies to Minimize the GI Risks in NSAID-treated patients:
Elevations of ALT or AST (three or more times the upper limit of normal [ULN]) have been reported in approximately 1% of NSAID-treated patients in clinical trials. In addition, rare, sometimes fatal, cases of severe hepatic injury, including fulminant hepatitis, liver necrosis, and hepatic failure have been reported.
Elevations of ALT or AST (less than three times ULN) may occur in up to 15% of patients treated with NSAIDs including piroxicam.
Inform patients of the warning signs and symptoms of hepatotoxicity (e.g., nausea, fatigue, lethargy, diarrhea, pruritus, jaundice, right upper quadrant tenderness, and "flu-like" symptoms). If clinical signs and symptoms consistent with liver disease develop, or if systemic manifestations occur (e.g., eosinophilia, rash, etc.), discontinue FELDENE immediately, and perform a clinical evaluation of the patient.
NSAIDs, including FELDENE, can lead to new onset of hypertension or worsening of preexisting hypertension, either of which may contribute to the increased incidence of CV events. Patients taking angiotensin converting enzyme (ACE) inhibitors, thiazide diuretics, or loop diuretics may have impaired response to these therapies when taking NSAIDs [see Drug Interactions (7)].
Monitor blood pressure (BP) during the initiation of NSAID treatment and throughout the course of therapy.
The Coxib and traditional NSAID Trialists' Collaboration meta-analysis of randomized controlled trials demonstrated an approximately two-fold increase in hospitalizations for heart failure in COX-2 selective-treated patients and nonselective NSAID-treated patients compared to placebo-treated patients. In a Danish National Registry study of patients with heart failure, NSAID use increased the risk of MI, hospitalization for heart failure, and death.
Additionally, fluid retention and edema have been observed in some patients treated with NSAIDs. Use of piroxicam may blunt the CV effects of several therapeutic agents used to treat these medical conditions (e.g., diuretics, ACE inhibitors, or angiotensin receptor blockers [ARBs]) [see Drug Interactions (7)].
Avoid the use of FELDENE in patients with severe heart failure unless the benefits are expected to outweigh the risk of worsening heart failure. If FELDENE is used in patients with severe heart failure, monitor patients for signs of worsening heart failure.
Renal Toxicity
Long-term administration of NSAIDs has resulted in renal papillary necrosis and other renal injury.
Renal toxicity has also been seen in patients in whom renal prostaglandins have a compensatory role in the maintenance of renal perfusion. In these patients, administration of an NSAID may cause a dose-dependent reduction in prostaglandin formation and, secondarily, in renal blood flow, which may precipitate overt renal decompensation. Patients at greatest risk of this reaction are those with impaired renal function, dehydration, hypovolemia, heart failure, liver dysfunction, those taking diuretics and ACE inhibitors or ARBs, and the elderly. Discontinuation of NSAID therapy is usually followed by recovery to the pretreatment state.
No information is available from controlled clinical studies regarding the use of FELDENE in patients with advanced renal disease. The renal effects of FELDENE may hasten the progression of renal dysfunction in patients with preexisting renal disease.
Correct volume status in dehydrated or hypovolemic patients prior to initiating FELDENE. Monitor renal function in patients with renal or hepatic impairment, heart failure, dehydration, or hypovolemia during use of FELDENE [see Drug Interactions (7)]. Avoid the use of FELDENE in patients with advanced renal disease unless the benefits are expected to outweigh the risk of worsening renal function. If FELDENE is used in patients with advanced renal disease, monitor patients for signs of worsening renal function.
Hyperkalemia
Increases in serum potassium concentration, including hyperkalemia, have been reported with use of NSAIDs, even in some patients without renal impairment. In patients with normal renal function, these effects have been attributed to a hyporeninemic-hypoaldosteronism state.
Piroxicam has been associated with anaphylactic reactions in patients with and without known hypersensitivity to piroxicam and in patients with aspirin-sensitive asthma [see Contraindications (4) and Warnings and Precautions (5.8)].
Seek emergency help if an anaphylactic reaction occurs.
A subpopulation of patients with asthma may have aspirin-sensitive asthma which may include chronic rhinosinusitis complicated by nasal polyps; severe, potentially fatal bronchospasm; and/or intolerance to aspirin and other NSAIDs. Because cross-reactivity between aspirin and other NSAIDs has been reported in such aspirin-sensitive patients, FELDENE is contraindicated in patients with this form of aspirin sensitivity [see Contraindications (4)]. When FELDENE is used in patients with preexisting asthma (without known aspirin sensitivity), monitor patients for changes in the signs and symptoms of asthma.
NSAIDs, including piroxicam, can cause serious skin adverse reactions such as exfoliative dermatitis, Stevens-Johnson Syndrome (SJS), and toxic epidermal necrolysis (TEN), which can be fatal. These serious events may occur without warning. Inform patients about the signs and symptoms of serious skin reactions, and to discontinue the use of FELDENE at the first appearance of skin rash or any other sign of hypersensitivity. FELDENE is contraindicated in patients with previous serious skin reactions to NSAIDs [see Contraindications (4)].
Piroxicam may cause premature closure of the fetal ductus arteriosus. Avoid use of NSAIDs, including FELDENE, in pregnant women starting at 30 weeks of gestation (third trimester) [see Use in Specific Populations (8.1)].
Anemia has occurred in NSAID-treated patients. This may be due to occult or gross blood loss, fluid retention, or an incompletely described effect on erythropoiesis. If a patient treated with FELDENE has any signs or symptoms of anemia, monitor hemoglobin or hematocrit.
NSAIDs, including FELDENE, may increase the risk of bleeding events. Co-morbid conditions such as coagulation disorders, concomitant use of warfarin, other anticoagulants, antiplatelet agents (e.g., aspirin), serotonin reuptake inhibitors (SSRIs), and serotonin norepinephrine reuptake inhibitors (SNRIs) may increase this risk. Monitor these patients for signs of bleeding [see Drug Interactions (7)].
The pharmacological activity of FELDENE in reducing inflammation, and possibly fever, may diminish the utility of diagnostic signs in detecting infections.
The following adverse reactions are discussed in greater detail in other sections of the labeling:
Because clinical trials are conducted under widely varying conditions, adverse reaction rates observed in the clinical trials of a drug cannot be directly compared to rates in the clinical trials of another drug and may not reflect the rates observed in practice.
In patients taking FELDENE or other NSAIDs, the most frequently reported adverse experiences occurring in approximately 1–10% of patients are:
Cardiovascular System: Edema
Digestive System: Anorexia, abdominal pain, constipation, diarrhea, flatulence, nausea, vomiting
Nervous System: Dizziness, headache, vertigo
Skin and Appendages: Pruritus, rash
Special Senses: Tinnitus
Additional adverse experiences reported occasionally include:
Cardiovascular System: Palpitations
Digestive System: Stomatitis
Nervous System: Drowsiness
Special Senses: Blurred vision
The following adverse reactions have been identified during post approval use of FELDENE. Because these reactions are reported voluntarily from a population of uncertain size, it is not always possible to reliably estimate their frequency or establish a causal relationship to drug exposure.
Body As a Whole: Fever, infection, sepsis, anaphylactic reactions, appetite changes, death, flu-like syndrome, pain (colic), serum sickness
Cardiovascular System: Congestive heart failure, hypertension, tachycardia, syncope, arrhythmia, exacerbation of angina, hypotension, myocardial infarction, vasculitis
Digestive System: Dyspepsia, elevated liver enzymes, gross bleeding/perforation, heartburn, ulcers (gastric/duodenal), dry mouth, esophagitis, gastritis, glossitis, hematemesis, hepatitis, jaundice, melena, rectal bleeding, eructation, liver failure, pancreatitis
Hemic and Lymphatic System: Anemia, increased bleeding time, ecchymosis, eosinophilia, epistaxis, leukopenia, purpura, petechial rash, thrombocytopenia, agranulocytosis, hemolytic anemia, aplastic anemia, lymphadenopathy, pancytopenia
Hypersensitivity: Positive ANA
Metabolic and Nutritional: Weight changes, Fluid retention, hyperglycemia, hypoglycemia
Nervous System: Anxiety, asthenia, confusion, depression, dream abnormalities, insomnia, malaise, nervousness, paresthesia, somnolence, tremors, akathisia, convulsions, coma, hallucinations, meningitis, mood alterations
Respiratory System: Asthma, dyspnea, respiratory depression, pneumonia
Skin and Appendages: Alopecia, bruising, desquamation, erythema, photosensitivity, sweat, angioedema, toxic epidermal necrosis, erythema multiforme, exfoliative dermatitis, onycholysis, Stevens Johnson Syndrome, urticaria, vesiculobullous reaction
Special Senses: Conjunctivitis, hearing impairment, swollen eyes
Urogenital System: Abnormal renal function, cystitis, dysuria, hematuria, hyperkalemia, interstitial nephritis, nephrotic syndrome, oliguria/polyuria, proteinuria, renal failure, glomerulonephritis
Reproductive system and breast disorders: Female fertility decreased
See Table 1 for clinically significant drug interactions with piroxicam.
| Drugs That Interfere with Hemostasis | |
|---|---|
| Clinical Impact: |
|
| Intervention: | Monitor patients with concomitant use of FELDENE with anticoagulants (e.g., warfarin), antiplatelet agents (e.g., aspirin), selective serotonin reuptake inhibitors (SSRIs), and serotonin norepinephrine reuptake inhibitors (SNRIs) for signs of bleeding [see Warnings and Precautions (5.11)]. |
| Aspirin | |
| Clinical Impact: | Controlled clinical studies showed that the concomitant use of NSAIDs and analgesic doses of aspirin does not produce any greater therapeutic effect than the use of NSAIDs alone. In a clinical study, the concomitant use of an NSAID and aspirin was associated with a significantly increased incidence of GI adverse reactions as compared to use of the NSAID alone [see Warnings and Precautions (5.2)]. |
| Intervention: | Concomitant use of FELDENE and analgesic doses of aspirin is not generally recommended because of the increased risk of bleeding
[see Warnings and Precautions (5.11)]. FELDENE is not a substitute for low dose aspirin for cardiovascular protection. |
| ACE Inhibitors, Angiotensin Receptor Blockers, and Beta-Blockers | |
| Clinical Impact: |
|
| Intervention: |
|
| Diuretics | |
| Clinical Impact: | Clinical studies, as well as post-marketing observations, showed that NSAIDs reduced the natriuretic effect of loop diuretics (e.g., furosemide) and thiazide diuretics in some patients. This effect has been attributed to the NSAID inhibition of renal prostaglandin synthesis. |
| Intervention: | During concomitant use of FELDENE with diuretics, observe patients for signs of worsening renal function, in addition to assuring diuretic efficacy including antihypertensive effects [see Warnings and Precautions (5.6)]. |
| Digoxin | |
| Clinical Impact: | The concomitant use of piroxicam with digoxin has been reported to increase the serum concentration and prolong the half-life of digoxin. |
| Intervention: | During concomitant use of FELDENE and digoxin, monitor serum digoxin levels. |
| Lithium | |
| Clinical Impact: | NSAIDs have produced elevations in plasma lithium levels and reductions in renal lithium clearance. The mean minimum lithium concentration increased 15%, and the renal clearance decreased by approximately 20%. This effect has been attributed to NSAID inhibition of renal prostaglandin synthesis. |
| Intervention: | During concomitant use of FELDENE and lithium, monitor patients for signs of lithium toxicity. |
| Methotrexate | |
| Clinical Impact: | Concomitant use of NSAIDs and methotrexate may increase the risk for methotrexate toxicity (e.g., neutropenia, thrombocytopenia, renal dysfunction). |
| Intervention: | During concomitant use of FELDENE and methotrexate, monitor patients for methotrexate toxicity. |
| Cyclosporine | |
| Clinical Impact: | Concomitant use of FELDENE and cyclosporine may increase cyclosporine's nephrotoxicity. |
| Intervention: | During concomitant use of FELDENE and cyclosporine, monitor patients for signs of worsening renal function. |
| NSAIDs and Salicylates | |
| Clinical Impact: | Concomitant use of piroxicam with other NSAIDs or salicylates (e.g., diflunisal, salsalate) increases the risk of GI toxicity, with little or no increase in efficacy [see Warnings and Precautions (5.2)]. |
| Intervention: | The concomitant use of piroxicam with other NSAIDs or salicylates is not recommended. |
| Pemetrexed | |
| Clinical Impact: | Concomitant use of FELDENE and pemetrexed may increase the risk of pemetrexed-associated myelosuppression, renal, and GI toxicity (see the pemetrexed prescribing information). |
| Intervention: | During concomitant use of FELDENE and pemetrexed, in patients with renal impairment whose creatinine clearance ranges from
45 to 79 mL/min, monitor for myelosuppression, renal and GI toxicity.
NSAIDs with short elimination half-lives (e.g., diclofenac, indomethacin) should be avoided for a period of two days before, the day of, and two days following administration of pemetrexed. In the absence of data regarding potential interaction between pemetrexed and NSAIDs with longer half-lives (e.g., meloxicam, nabumetone), patients taking these NSAIDs should interrupt dosing for at least five days before, the day of, and two days following pemetrexed administration. |
| Highly Protein Bound Drugs | |
| Clinical Impact: | FELDENE is highly protein bound and, therefore, might be expected to displace other protein bound drugs. |
| Intervention: | Physicians should closely monitor patients for a change in dosage requirements when administering FELDENE to patients on other highly protein bound drugs. |
| Corticosteroids | |
| Clinical Impact: | Concomitant use of corticosteroids with FELDENE may increase the risk of GI ulceration or bleeding. |
| Intervention: | Monitor patients with concomitant use of FELDENE with corticosteroids for signs of bleeding [see Warnings and Precautions (5.2)]. |
Risk Summary
Use of NSAIDs, including FELDENE, during the third trimester of pregnancy increases the risk of premature closure of the fetal ductus arteriosus. Avoid use of NSAIDs, including FELDENE, in pregnant women starting at 30 weeks of gestation (third trimester).
There are no adequate and well-controlled studies of FELDENE in pregnant women.
Data from observational studies regarding potential embryofetal risks of NSAID use in women in the first or second trimesters of pregnancy are inconclusive. In the general U.S. population, all clinically recognized pregnancies, regardless of drug exposure, have a background rate of 2–4% for major malformations, and 15–20% for pregnancy loss.
In animal reproduction studies in rats and rabbits, there was no evidence of teratogenicity at exposures up to 5 and 10 times the MRHD, respectively. In rat studies with piroxicam, fetotoxicity (postimplantation loss) was observed at exposures 2 times the MRHD, and delayed parturition and an increased incidence of stillbirth were noted at doses equivalent to the MRHD of piroxicam. Based on animal data, prostaglandins have been shown to have an important role in endometrial vascular permeability, blastocyst implantation, and decidualization. In animal studies, administration of prostaglandin synthesis inhibitors such as piroxicam, resulted in increased pre- and post-implantation loss.
Clinical Considerations
Labor or Delivery
There are no studies on the effects of FELDENE during labor or delivery. In animal studies, NSAIDS, including piroxicam inhibit prostaglandin synthesis, cause delayed parturition, and increase the incidence of stillbirth.
Data
Animal data
Pregnant rats administered piroxicam at 2, 5, or 10 mg/kg/day during the period of organogenesis (Gestation Days 6 to 15) demonstrated increased post-implantation losses with 5 and 10 mg/kg/day of piroxicam (equivalent to 2 and 5 times the maximum recommended human dose [MRHD], of 20 mg respectively, based on a mg/m2 body surface area [BSA]). There were no drug-related developmental abnormalities noted in offspring. Gastrointestinal tract toxicity was increased in pregnant rats in the last trimester of pregnancy compared to non-pregnant rats or rats in earlier trimesters of pregnancy. Pregnant rabbits administered piroxicam at 2, 5, or 10 mg/kg/day during the period of organogenesis (Gestation Days 7 to 18) demonstrated no drug-related developmental abnormalities in offspring (up to 10 times the MRHD based on a mg/m2 BSA).
In a pre- and post-natal development study in which pregnant rats were administered piroxicam at 2, 5, or 10 mg/kg/day on Gestation Day 15 through delivery and weaning of offspring, reduced weight gain and death were observed in dams at 10 mg/kg/day (5 times the MRHD based on a mg/m2 BSA) starting on Gestation Day 20. Treated dams revealed peritonitis, adhesions, gastric bleeding, hemorrhagic enteritis and dead fetuses in utero. Parturition was delayed and there was an increased incidence of stillbirth in all piroxicam-treated groups (at doses equivalent to the MRHD). Postnatal development could not be reliably assessed due to the absence of maternal care secondary to severe maternal toxicity.
Risk Summary
Limited data from 2 published reports that included a total of 6 breastfeeding women and 2 infants showed piroxicam is excreted in human milk at approximately 1% to 3% of the maternal concentration. No accumulation of piroxicam occurred in milk relative to that in maternal plasma during treatment. The developmental and health benefits of breastfeeding should be considered along with the mother's clinical need for FELDENE and any potential adverse effects on the breastfed infant from the FELDENE or from the underlying maternal condition.
Infertility
Females
Based on the mechanism of action, the use of prostaglandin-mediated NSAIDs, including FELDENE, may delay or prevent rupture of ovarian follicles, which has been associated with reversible infertility in some women. Published animal studies have shown that administration of prostaglandin synthesis inhibitors has the potential to disrupt prostaglandin-mediated follicular rupture required for ovulation. Small studies in women treated with NSAIDs have also shown a reversible delay in ovulation. Consider withdrawal of NSAIDs, including FELDENE, in women who have difficulties conceiving or who are undergoing investigation of infertility.
FELDENE has not been investigated in pediatric patients. The safety and effectiveness of FELDENE have not been established.
Elderly patients, compared to younger patients, are at greater risk for NSAID-associated serious cardiovascular, gastrointestinal, and/or renal adverse reactions. If the anticipated benefit for the elderly patient outweighs these potential risks, start dosing at the low end of the dosing range, and monitor patients for adverse effects [see Warnings and Precautions (5.1, 5.2, 5.3, 5.6, 5.13)].
Symptoms following acute NSAID overdoses have been typically limited to lethargy, drowsiness, nausea, vomiting, and epigastric pain, which are generally reversible with supportive care. Gastrointestinal bleeding has occurred. Hypertension, acute renal failure, respiratory depression, and coma have occurred, but were rare [see Warnings and Precautions (5.1, 5.2, 5.4, 5.6)].
Manage patients with symptomatic and supportive care following an NSAID overdose. There are no specific antidotes. Consider emesis and/or activated charcoal (60–100 grams in adults, 1–2 grams per kg of body weight in pediatric patients) and/or osmotic cathartic in symptomatic patients seen within four hours of ingestion or in patients with a large overdosage (5 to 10 times the recommended dosage).
The long plasma half-life of piroxicam should be considered when treating an overdose with piroxicam. Forced diuresis, alkalinization of urine, hemodialysis, or hemoperfusion may not be useful due to high protein binding.
For additional information about overdosage treatment contact a poison control center (1-800-222-1222).
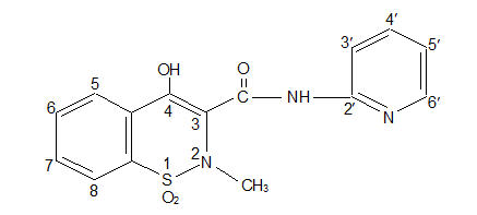
FELDENE (piroxicam) capsule is a nonsteroidal anti-inflammatory drug, available as maroon and blue #322 10 mg capsules and maroon #323 20 mg capsules for oral administration. The chemical name is 4-hydroxyl-2-methyl-N-2-pyridinyl-2H-1,2,-benzothiazine-3-carboxamide 1,1-dioxide. The molecular weight is 331.35. Its molecular formula is C15H13N3O4S, and it has the following chemical structure.

Piroxicam occurs as a white crystalline solid, sparingly soluble in water, dilute acid, and most organic solvents. It is slightly soluble in alcohol and in aqueous solutions. It exhibits a weakly acidic 4-hydroxy proton (pKa 5.1) and a weakly basic pyridyl nitrogen (pKa 1.8).
The inactive ingredients in FELDENE include: Blue 1, Red 3, lactose, magnesium stearate, sodium lauryl sulfate, starch.
Piroxicam has analgesic, anti-inflammatory, and antipyretic properties.
The mechanism of action of FELDENE, like that of other NSAIDs, is not completely understood but involves inhibition of cyclooxygenase (COX-1 and COX-2).
Piroxicam is a potent inhibitor of prostaglandin (PG) synthesis in vitro. Piroxicam concentrations reached during therapy have produced in vivo effects. Prostaglandins sensitize afferent nerves and potentiate the action of bradykinin in inducing pain in animal models. Prostaglandins are mediators of inflammation. Because piroxicam is an inhibitor of prostaglandin synthesis, its mode of action may be due to a decrease of prostaglandins in peripheral tissues.
General pharmacokinetic characteristics
The pharmacokinetics of piroxicam have been characterized in healthy subjects, special populations and patients. The pharmacokinetics of piroxicam are linear. Proportional increase in exposure is observed with increasing doses. The prolonged half-life (50 hours) results in the maintenance of relatively stable plasma concentrations throughout the day on once daily doses and significant accumulation upon multiple dosing. Most patients approximate steady state plasma levels within 7–12 days. Higher levels, which approximate steady state at two to three weeks, have been observed in patients in whom longer plasma half-lives of piroxicam occurred.
Absorption
Piroxicam is well absorbed following oral administration. Drug plasma concentrations are proportional for 10 and 20 mg doses and generally peak within three to five hours after administration. A single 20 mg dose generally produces peak piroxicam plasma levels of 1.5 to 2 mcg/mL, while maximum drug plasma concentrations, after repeated daily administration of 20 mg piroxicam, usually stabilize at 3–8 mcg/mL.
With food there is a slight delay in the rate but not the extent of absorption following oral administration. The concomitant administration of antacids (aluminum hydroxide or aluminum hydroxide with magnesium hydroxide) have been shown to have no effect on the plasma levels of orally administered piroxicam.
Distribution
The apparent volume of distribution of piroxicam is approximately 0.14 L/kg. Ninety nine percent of plasma piroxicam is bound to plasma proteins. Piroxicam is excreted into human milk. The presence in breast milk has been determined during initial and long term conditions (52 days). Piroxicam appeared in breast milk at approximately 1% to 3% of the maternal concentration. No accumulation of piroxicam occurred in milk relative to that in plasma during treatment.
Elimination
Metabolism
Metabolism of piroxicam occurs by hydroxylation at the 5 position of the pyridyl side chain and conjugation of this product; by cyclodehydration; and by a sequence of reactions involving hydrolysis of the amide linkage, decarboxylation, ring contraction, and N-demethylation. In vitro studies indicate cytochrome P4502C9 (CYP2C9) as the main enzyme involved in the formation to the 5'-hydroxy-piroxicam, the major metabolite [see Clinical Pharmacology (12.5)]. The biotransformation products of piroxicam metabolism are reported to not have any anti-inflammatory activity.
Higher systemic exposure of piroxicam has been noted in subjects with CYP2C9 polymorphisms compared to normal metabolizer type subjects [see Clinical Pharmacology (12.5)].
Excretion
Piroxicam and its biotransformation products are excreted in urine and feces, with about twice as much appearing in the urine as in the feces. Approximately 5% of a FELDENE dose is excreted unchanged. The plasma half-life (t½) for piroxicam is approximately 50 hours.
Specific Populations
Hepatic Impairment
The effects of hepatic disease on piroxicam pharmacokinetics have not been established. However, a substantial portion of piroxicam elimination occurs by hepatic metabolism. Consequently, patients with hepatic disease may require reduced doses of piroxicam as compared to patients with normal hepatic function.
Renal Impairment
Piroxicam pharmacokinetics have been investigated in patients with renal insufficiency. Studies indicate patients with mild to moderate renal impairment may not require dosing adjustments. However, the pharmacokinetic properties of piroxicam in patients with severe renal insufficiency or those receiving hemodialysis are not known.
Drug Interaction Studies
Antacids
Concomitant administration of antacids had no effect on piroxicam plasma levels.
Aspirin
When piroxicam was administered with aspirin, its protein binding was reduced, although the clearance of free FELDENE was not altered. Plasma levels of piroxicam were decreased to approximately 80% of their normal values when FELDENE was administered (20 mg/day) in conjunction with aspirin (3900 mg/day). The clinical significance of this interaction is not known [see Drug Interactions (7)].
CYP2C9 activity is reduced in individuals with genetic polymorphisms, such as the CYP2C9*2 and CYP2C9*3 polymorphisms. Limited data from two published reports showed that subjects with heterozygous CYP2C9*1/*2 (n=9), heterozygous CYP2C9*1/*3 (n=9), and homozygous CYP2C9*3/*3 (n=1) genotypes showed 1.7-, 1.7-, and 5.3-fold higher piroxicam systemic levels, respectively, than the subjects with CYP2C9*1/*1 (n=17, normal metabolizer genotype) following administration of a single oral dose. The mean elimination half-life values of piroxicam for subjects with CYP2C9*1/*3 (n=9) and CYP2C9*3/*3 (n=1) genotypes were 1.7- and 8.8-fold higher than subjects with CYP2C9*1/*1 (n=17). It is estimated that the frequency of the homozygous*3/*3 genotype is 0% to 1% in the population at large; however, frequencies as high as 5.7% have been reported in certain ethnic groups.
Poor Metabolizers of CYP2C9 Substrates: In patients who are known or suspected to be poor CYP2C9 metabolizers based on genotype or previous history/experience with other CYP2C9 substrates (such as warfarin and phenytoin) consider dose reduction as they may have abnormally high plasma levels due to reduced metabolic clearance.
Carcinogenesis
Long-term animal studies have not been conducted to characterize the carcinogenic potential of piroxicam.
Mutagenesis
Piroxicam was not mutagenic in an Ames bacterial reverse mutation assay, or in a dominant lethal mutation assay in mice, and was not clastogenic in an in vivo chromosome aberration assay in mice.
Impairment of Fertility
Reproductive studies in which rats were administered piroxicam at doses of 2, 5, or 10 mg/kg/day (up to 5 times the maximum recommended human dose [MRHD] of 20 mg based on mg/m2 body surface area [BSA]) revealed no impairment of male or female fertility.
In controlled clinical trials, the effectiveness of FELDENE has been established for both acute exacerbations and long term management of rheumatoid arthritis and osteoarthritis.
The therapeutic effects of FELDENE are evident early in the treatment of both diseases with a progressive increase in response over several (8–12) weeks. Efficacy is seen in terms of pain relief and, when present, subsidence of inflammation.
Doses of 20 mg/day FELDENE display a therapeutic effect comparable to therapeutic doses of aspirin, with a lower incidence of minor gastrointestinal effects and tinnitus.
FELDENE has been administered concomitantly with fixed doses of gold and corticosteroids. The existence of a "steroid sparing" effect has not been adequately studied to date.
FELDENE® (piroxicam) 10 mg capsules are maroon and blue #322, supplied as:
| NDC Number | Size | ||
|---|---|---|---|
| 0069-3220-66 | bottles of 100 |
FELDENE® (piroxicam) 20 mg capsules are maroon #323, supplied as:
| NDC Number | Size | ||
|---|---|---|---|
| 0069-3230-66 | bottles of 100 |
Advise the patient to read the FDA-approved patient labeling (Medication Guide) that accompanies each prescription dispensed. Inform patients, families, or their caregivers of the following information before initiating therapy with FELDENE and periodically during the course of ongoing therapy.
Cardiovascular Thrombotic Events
Advise patients to be alert for the symptoms of cardiovascular thrombotic events, including chest pain, shortness of breath, weakness, or slurring of speech, and to report any of these symptoms to their health care provider immediately [see Warnings and Precautions (5.1)].
Gastrointestinal Bleeding, Ulceration, and Perforation
Advise patients to report symptoms of ulcerations and bleeding, including epigastric pain, dyspepsia, melena, and hematemesis to their health care provider. In the setting of concomitant use of low-dose aspirin for cardiac prophylaxis, inform patients of the increased risk for and the signs and symptoms of GI bleeding [see Warnings and Precautions (5.2)].
Hepatotoxicity
Inform patients of the warning signs and symptoms of hepatotoxicity (e.g., nausea, fatigue, lethargy, pruritus, diarrhea, jaundice, right upper quadrant tenderness, and "flu-like" symptoms). If these occur, instruct patients to stop FELDENE and seek immediate medical therapy [see Warnings and Precautions (5.3)].
Heart Failure and Edema
Advise patients to be alert for the symptoms of congestive heart failure including shortness of breath, unexplained weight gain, or edema and to contact their healthcare provider if such symptoms occur [see Warnings and Precautions (5.5)].
Anaphylactic Reactions
Inform patients of the signs of an anaphylactic reaction (e.g., difficulty breathing, swelling of the face or throat). Instruct patients to seek immediate emergency help if these occur [see Contraindications (4) and Warnings and Precautions (5.7)].
Serious Skin Reactions
Advise patients to stop FELDENE immediately if they develop any type of rash and to contact their healthcare provider as soon as possible [see Warnings and Precautions (5.9)].
Female Fertility
Advise females of reproductive potential who desire pregnancy that NSAIDs, including FELDENE, may be associated with a reversible delay in ovulation [see Use in Specific Populations (8.3)].
Fetal Toxicity
Inform pregnant women to avoid use of FELDENE and other NSAIDs starting at 30 weeks gestation because of the risk of the premature closing of the fetal ductus arteriosus [see Warnings and Precautions (5.10) and Use in Specific Populations (8.1)].
Avoid Concomitant Use of NSAIDs
Inform patients that the concomitant use of FELDENE with other NSAIDs or salicylates (e.g., diflunisal, salsalate) is not recommended due to the increased risk of gastrointestinal toxicity, and little or no increase in efficacy [see Warnings and Precautions (5.2) and Drug Interactions (7)]. Alert patients that NSAIDs may be present in "over the counter" medications for treatment of colds, fever, or insomnia.
| FELDENE
piroxicam capsule |
|||||||||||||||||||||
|
|||||||||||||||||||||
|
|||||||||||||||||||||
|
|||||||||||||||||||||
|
|||||||||||||||||||||
|
|||||||||||||||||||||
|
|||||||||||||||||||||
| FELDENE
piroxicam capsule |
|||||||||||||||||||||
|
|||||||||||||||||||||
|
|||||||||||||||||||||
|
|||||||||||||||||||||
|
|||||||||||||||||||||
|
|||||||||||||||||||||
|
|||||||||||||||||||||
| Labeler - Pfizer Laboratories Div Pfizer Inc (134489525) |
| Establishment | |||
| Name | ID/FEI | Business Operations | |
|---|---|---|---|
| Pfizer Pharmaceuticals LLC | 829084545 | ANALYSIS(0069-3220, 0069-3230) , API MANUFACTURE(0069-3220, 0069-3230) , MANUFACTURE(0069-3220, 0069-3230) , PACK(0069-3220, 0069-3230) | |
| Establishment | |||
| Name | ID/FEI | Business Operations | |
|---|---|---|---|
| Pfizer Ireland Pharmaceuticals | 896090987 | ANALYSIS(0069-3220, 0069-3230) , API MANUFACTURE(0069-3220, 0069-3230) | |
| Establishment | |||
| Name | ID/FEI | Business Operations | |
|---|---|---|---|
| Pfizer Pharmaceuticals LLC | 829084552 | ANALYSIS(0069-3220, 0069-3230) , MANUFACTURE(0069-3220, 0069-3230) , PACK(0069-3220, 0069-3230) | |